基本的三极管放大电路图目前有三种可实现,其操作原理也很简单。
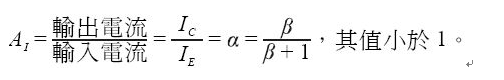
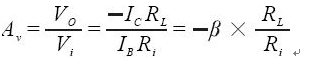
第一种:共基极放大电路,输入端(EB之间),输入阻抗低(约20~200 )是正向偏压,输出端(CB之间),输出阻抗高(约100k~1M )为反向偏压。

电流增益:当AI小于,而RL/Ri很大时,电压增益会相当的高。


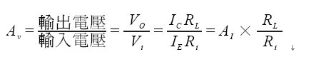
电压增益:


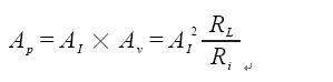
功率增益:当AI小于,其他不变,功率增益不会变大。


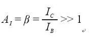
第二种:共发射极放大电路,多是应用在各放大器电路中(有电流与电压放大增益性能)
其特性-输入与输出阻抗中等(Ri约1k~5k ;RO约50k。

电流增益:当负号输出信号和输入的信号反相(相位差°)


电压增益:


功率增益:当AI小于,其他不变,功率增益不会变大。


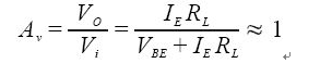
第三种:共集电极放大电路,高输入阻抗及低输出阻抗的特性可作阻抗匹配用,以改善电压信号的负载效应。
输入阻抗高(Ri约20 k );输出阻抗低(RO约20 )。

电压增益等于1,表示射极的输出信号追随着基极的输入信号,所以共集极放大器又称为射极随耦器(emitterfollower)。
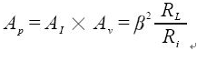
功率增益Ap = AI × Av≈β ,功率增益低。


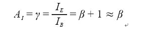
电流增益:

