我们使用的大多数设备都是AC设备。它们需要交流电源才能运行。我们没有太多适用于直流电源的设备。但随着电子技术的进步,DC正在变得越来越重要,因为这些器件为AC到DC转换提供了有效的方法。早些时候,我们使用同步转换器,但转换过程非常有损且效率低下。但是现在使用诸如二极管的电子设备来将AC转换为DC。我们需要为直流设备提供直流电源,如计算机,电池充电器等。所有这些都可以通过半导体技术的进步实现。
现在整流器是转换为DC到AC的过程。这是转换过程的第二阶段。它将AC电压波形转换为整流电压。
现在,我们还有其他类型的整改方法也可以使用。所以,我们可能会想到,如果有其他方法,我们为什么需要这种方法呢?这个问题的答案是它提供了某些优点,例如没有中心抽头变压器需要,变压器利用率高,所以与其他方法相比,它具有优势,因此可以使用。
二极管桥式整流器原理
这里我们连接了四个二极管,如图所示。使用变压器是为了在输出端将电压降低到所需的电平,连接负载消耗功率图: - 桥式整流器电路和波形(整流)。当变压器次级的上端为正时,二极管D 1和D 3正向偏置,电流流过它们。类似地,电流通过D 1进入并离开D 3到另一个端子,在另一个半周期期间,D 2和D 4正向偏置,电流通过D 2进入并通过D 4离开到源极。
这里,电容器用作滤波器,滤除纹波频率并提供具有较小纹波频率的DC电压。为了在输出端获得稳定的直流电压,我们必须在滤波操作后使用电压调节器。

二极管桥式整流器的数学分析
通过负载的峰值电流,如果二极管具有正向?电阻?F然后

在这里,我们获得两倍的前向阻力。假设所有二极管具有相同的正向电阻,则两个二极管用于半个周期,两个正向电阻将出现在表达式中。
输出电流

其中,
I dc是流过负载的电流的DC值,Im是AC电流的峰值。
直流输出电压

其中,
V dc是输出直流电压,I dc是流过电路的直流电流,R是连接在电路中的负载电阻。
RMS输出电流

RMS输出电压

形状因子和波峰因数
形状因子,

其中,V avg是平均值或直流电压。
输出频率

其中,f out是输出频率,f in是输入或供电频率。
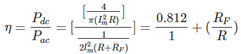
整改效率

纹波系数
二极管桥式整流器纹波系数


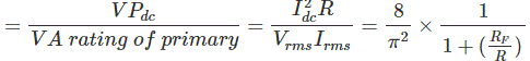
TUF或变压器利用率

1.双整流效率则为半波整流器。
2.低纹波电压和更高频率,因此需要简单的滤波电路。
3.更高的TUF然后是中心抽头整流器。
4.无需中心抽头变压器。
5.PIV或峰值反向电压是中心抽头的一半。
二极管桥式整流器的缺点
因此需要四个二极管,整流器的成本将更高。
烜芯微专业制造二极管,三极管,MOS管,桥堆等20年,工厂直销省20%,1500家电路电器生产企业选用,专业的工程师帮您稳定好每一批产品,如果您有遇到什么需要帮助解决的,可以点击右边的工程师,或者点击销售经理给您精准的报价以及产品介绍
烜芯微专业制造二极管,三极管,MOS管,桥堆等20年,工厂直销省20%,1500家电路电器生产企业选用,专业的工程师帮您稳定好每一批产品,如果您有遇到什么需要帮助解决的,可以点击右边的工程师,或者点击销售经理给您精准的报价以及产品介绍