肖特基二极管的命名:肖特基二极管是以其发明人肖特基博士( Schottky)命名的,
完整的叫法是:肖特基整流二极管( Schottky Rectifier Diode 缩写成 SR)
也有人叫做:肖特基势垒二极管( Schottky Barrier Diode 缩写成 SBD)的简称。但 SBD 不是利用 P 型半导体与 N 型半
导体接触形成 PN 结原理制作的,而是利用金属与半导体接触形成的金属-半导体结原理制作的。
因此, SBD 也称为金属-半导体(接触)二极管或表面势垒二极管,它是一种热载流子二极管。
利用金属与半导体接触形成肖特基势垒构成的微波二极管称为肖特基势垒二极管。这种器件对外主要呈现非线性电阻特性是构成微波混频器、检波器和微波开关等的核心元件。
结构 肖特基势垒二极管有两种管芯结构?点接触型和面结合
型如图2-28所示。点接触型管芯用一根金属丝压接在N型半导体外延层表面上形成金半接触。面结合型管芯先要在N型半导体外延层表面上生成二氧化硅(SiO2)?;げ?再用光刻的办法腐蚀出一个小孔?暴露出N型半导体外延层表面?淀积一层金属膜(一般采用金属钼或钛?称为势垒金属)形成金半接触?再蒸镀或电镀一层金属(金、银等)构成电极。




Rs为半导体的体电阻?又叫串联电阻。点接触型二极管的Rs值为十欧姆到几十欧姆?而面结合型二极管的Rs值约为几欧姆。Ls为引线电感?为一至几纳亨。Cp为管壳电容?约为几分之一皮法。
肖特基二极管作为非线性电阻应用时?除结电阻Rj之外?其他都是寄生参量?会对电路的性能造成影响?应尽量减小8
它们本身的值?或在微波电路设计时?充分考虑这些寄生参量的影响。
3. 伏安特性?
一般地肖特基势垒二极管的伏安特性可表示为


与理想金半接触伏安特性公式(2-29)相比较?式(2-39)多了一个修正因子n。对于理想的肖特基势垒n=1?
当势垒不理想时?n>1?且点接触型二极管n>1.4?面结合型二极管n≈1.05?。
图2-32是肖特基势垒二极管的伏安特性曲线。


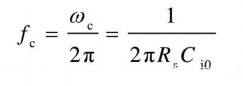
式中?Cj0是零偏压时二极管的结电容。
当外加电压的频率为fc时发生谐振?微波信号在Rs上的损耗为3 dB?二极管不能良好地工作。fc是肖特基势垒二极
管工作频率的上限它的值越大肖特基势垒二极管的频率特性越好。?目前?砷化镓肖特基势垒二极管的截止频率一般可达400?1000 GHz(砷化镓材料迁移率高?故Rs小)。点接触式二极管由于结面积非常小?虽然Rs有所增加?但Cj大大减小?因此fc可高达2000 GHz以上?在毫米波波段中发挥了重要作用。
2) 噪声比td? ?噪声比td为肖特基势垒二极管的噪声功率与相同电阻热噪声功率的比值。肖特基势垒二极管的噪声来源于三个方面载流子的散粒噪声、串联电阻Rs的热噪声和取决于表面情况的闪烁噪声。由于Rs很小接近理想势垒且后两项噪声与散粒噪声相比很小可以忽略因而这里仅考虑载流子散粒噪声的功率。
3) 变频损耗?肖特基势垒二极管的基本用途是构成混频器?;炱灯鞯谋淦邓鸷谋碚餍ぬ鼗评荻苁迪制德时浠坏哪芰Χㄒ逦淙氲奈⒉ㄗ视霉β屎褪涑龅闹衅底视霉β手取K胄ぬ鼗评荻艿奶匦砸约盎炱灯鞯牡缏沸问胶凸ぷ髯刺芮邢喙?/div>
4) 中频阻抗?肖特基势垒二极管的中频阻抗为在额定本振功率激励下对指定中频呈现的阻抗。肖特基势垒二极管的中频阻抗典型
值为200~600 Ω。
5. 肖特基势垒二极管的其他问题
肖特基势垒二极管的主要用途是构成混频器和检波器使用场合不同对器件的要求也不同。下面简要介绍工程设计中需要考虑的一些问题。
1) 势垒高度
势垒高度决定正向驱动电压?影响动态范围、噪声系数和接收灵敏度?它与所要求的本振功率密切相关。表2-3给出势垒高度应用情况。


3) 噪声系数与本振功率的关系?若本振驱动功率小,则导通角小,变频损耗大,噪声系数大。若本振驱动功率过大,则正向电流过大,二极管发热噪声增加并且反向导通增加也会降低混频器的质量??杉?本振功率与噪声系数有一个最佳范围。二极管的噪声来源由三部分构成?即散弹噪声、热噪声和闪烁噪声。通常?定义二极管的总输出噪声与其等效电阻在相同温度下的热噪声功率的比值为噪声温度比?器件厂家会给出其典型值。
4) 硅和砷化镓二极管?硅材料的肖特基二极管的截止频率高于200 GHz以上工作在Ku频段以下可以得到良好的性能。在更高的工作频率或镜像回收混频器中需要用到砷化镓肖特基二极管?其截止频率在400 GHz以上,这是由于砷化镓材料电子迁移率高R小。如果选择混频器的中频频率较小,为了降低噪声?就必须提高本振驱动功率。为此?毫米波系统常采用多次中频方案。
烜芯微专业制造二极管,三极管,MOS管,桥堆20年,工厂直销省20%,1500家电路电器生产企业选用,专业的工程师帮您稳定好每一批产品,如果您有遇到什么需要帮助解决的,可以点击右边的工程师,或者点击销售经理给您精准的报价以及产品介绍
烜芯微专业制造二极管,三极管,MOS管,桥堆20年,工厂直销省20%,1500家电路电器生产企业选用,专业的工程师帮您稳定好每一批产品,如果您有遇到什么需要帮助解决的,可以点击右边的工程师,或者点击销售经理给您精准的报价以及产品介绍
相关阅读