今天我们来介绍一下贴片三极管共集电极放大电路, 贴片三极管共集电极放大电路图如下:

高输入阻抗及低输出阻抗的特性可作阻抗匹配用,以改善电压信号的负载效应。其电路特性归纳如下:
输入阻抗高(Ri约20 k );输出阻抗低(RO约20 )。
贴片三极管共集电极放大电路电流增益:贴片三极管共集电极放大电路电流增益


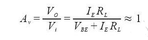
贴片三极管共集电极放大电路电压增益:贴片三极管共集电极放大电路电压增益


电压增益等于1,表示射极的输出信号追随着基极的输入信号,所以共集极放大器又称为射极随耦器(emitter follower)。功率增益Ap = AI &TImes; Av≈β ,功率增益低。
烜芯微专业制造二极管,三极管,MOS管,桥堆20年,工厂直销省20%,1500家电路电器生产企业选用,专业的工程师帮您稳定好每一批产品,如果您有遇到什么需要帮助解决的,可以点击右边的工程师,或者点击销售经理给您精准的报价以及产品介绍
烜芯微专业制造二极管,三极管,MOS管,桥堆20年,工厂直销省20%,1500家电路电器生产企业选用,专业的工程师帮您稳定好每一批产品,如果您有遇到什么需要帮助解决的,可以点击右边的工程师,或者点击销售经理给您精准的报价以及产品介绍