开关电源的功率损耗与热耗估算值-开关损耗产生的过程解析
开关模式电源(Switch Mode Power Supply,简称SMPS),又称交换式电源、开关变换器,是一种高频化电能转换装置,是电源供应器的一种。其功能是将一个位准的电压,透过不同形式的架构转换为用户端所需求的电压或电流。开关电源的输入多半是交流电源(例如市电)或是直流电源,而输出多半是需要直流电源的设备,例如个人电脑,而开关电源就进行两者之间电压及电流的转换。
开关电源不同于线性电源,开关电源利用的切换晶体管多半是在全开模式(饱和区)及全闭模式(截止区)之间切换,这两个模式都有低耗散的特点,切换之间的转换会有较高的耗散,但时间很短,因此比较节省能源,产生废热较少。理想上,开关电源本身是不会消耗电能的。电压稳压是透过调整晶体管导通及断路的时间来达到。相反的,线性电源在产生输出电压的过程中,晶体管工作在放大区,本身也会消耗电能??氐缭吹母咦恍适瞧湟淮笥诺?,而且因为开关电源工作频率高,可以使用小尺寸、轻重量的变压器,因此开关电源也会比线性电源的尺寸要小,重量也会比较轻。
若电源的高效率、体积及重量是考虑重点时,开关电源比线性电源要好。不过开关电源比较复杂,内部晶体管会频繁切换,若切换电流尚加以处理,可能会产生噪声及电磁干扰影响其他设备,而且若开关电源没有特别设计,其电源功率因数可能不高。
电源在为负载提供能量的同时也在燃烧自己,在电源设计时大家会很仔细的去分析负载的需求,但是容易忽略电源芯片或者其外围器件的热耗,对电源热耗的评估的目的是为了保证电源始终工作在一个安全的状态(不会被热?;せ蛘呱栈伲F拦廊群牡牡谝徊焦ぷ魇羌扑愕缭捶桨傅暮纳⒐β剩ū凰鸷牡舻墓β剩?,评估耗散功率有两种方法,黑盒和白盒。
一、黑盒方式评估电源的耗散功率
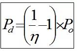
电源芯片及外围的器件的热耗占电源的输入总功率的比例就是电源的效率,所以我们可以从电源的效率反推得到电源的耗散功率,如图1.1。

图 1.1 电源的功率传输
由图1.1推导得知耗散功率的计算公式如下:

上图是从效率和输出功率Po反推得到耗散功率的。为什么要选择输出功率而不是输入功率呢?因为输出功率的数据比较容易取得,就是负载的实际需求,相比之下输入电压的范围比较宽泛,所以输入功率比较难定量得到。
那么电源效率的数据如何去获取呢?很简单,如果是线性稳压器,那么效率就是输出电压与输入电压的比值(V0/Vin),因为输出电流约等于输入电流;如果是开关电源,电源效率可以估为85%,如需要更为精确可以查芯片规格书的图表,如图1.2示例。

图 1.2 某电源芯片的效率图表示意
二、白盒方式计算电源的耗散功率
线性稳压器的原理单纯且多为集成模块,所以了解如何使用黑盒方式计算耗散功率一般已经足够。相比之下开关电源的集成度较弱,所以有时候需要分解子??榍业ザ兰扑闫浜纳⒐β?,这就是所谓的白盒模式。本文均以Buck为例,其它拓补形式可自行类推。
在BUCK电路的技术演变过程中出现了两个小分支,同步Buck与非同步Buck。两者的外观差异明显很好区分,有上下两个MOSFET管的Buck叫同步Buck;只有上管MOSFET,续流管是肖特基二极管的Buck叫做非同步Buck。同步Buck是后面发展出来的技术,使用MOSFET来代替续流二极管降低了导通压降,所以提升了电源效率,当然需要额外增加一套MOSFET驱动电路成本有所上升。

图1.3 同步与非同步Buck
开关电源损耗
开关电源的损耗主要由两大块组成,路径损耗与开关损耗。
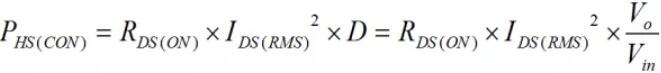
1、路径损耗(传导损耗):大电流路径上的内阻上的损耗。以BUCK为例,路径损耗包括上臂MOSFET的内阻损耗,电感的寄生阻抗(DCR)上的损耗及下臂MOSFET或者续流二极管上的损耗。
2、开关损耗:开通和关闭MOSFET过程中的损耗,与开关频率成正比。
一、理解开关损耗
路径损耗比较好理解,很直观,我们来着重介绍一下开关损耗的产生原因。如图1.4所示,上桥臂MOSFET的漏极连接至Vin,而源极连接至相位节点。当上桥臂开始开启时,下桥臂MOSFET的体二极管(非同步BUCK同理)会将相位点箝位为低于地电压(负压)。这种很大的漏-源电压差及且上桥臂MOSFET也以开关方式传输转换器的完全负载电流,所以在开关过程中产生了开关损耗。

图1.4 Buck的开关损耗示意

图1.5 MOSFET的寄生电容
图1.5是MOSFET的寄生电容示意,图1.6是上桥臂MOSFET的开关损耗图形,这是理想图形并假设栅极电流是恒定的??厮鸷牡牟碛隡OSFET的寄生电容相关。

图1.6 上桥臂MOSFET的理想开关损耗图形
开关损耗产生过程详细分析:
1、在时间段t1开始时,当MOSFET驱动器开始向MOSFET的栅极提供电流时,VGS(MOSFET 的栅 - 源电压)开始上升。在此期间,将对输入电容 Ciss(CGS + CGD)进行充电,而 VDS(MOSFET 的漏 - 源电压)保持恒定。此时不存在漏 - 源电流,因此,在此期间没有开关损耗。==>VGS小于阈值,MOSFET未开启,无损耗。
2、在时间段 t2 开始时, VGS 电压超出栅 - 源阈值电压(VGS(TH))。电流开始从漏极流向源极,同时 Ciss继续充电。该电流将线性上升,直到 Ids 等于电感电流 IL 为止。由于 MOSFET 上存在等于 VIN 的电压降,并且电流Ids 流过器件,所以此期间存在显著的开关损耗。==>VGS大于阈值,MOSFET开闸,损耗递增,顶点为输出电流正好满足负载需求处。
3、在时间段 t3 期间, Ids 电流保持恒定, Vds 电压开始下降。虽然漏 - 源电压在下降,但几乎所有的栅极电流都于对 CGD 进行充电。由于几乎没有栅极电流用于对 CGS充电,所以栅 - 源电压在一个称为“开关点”电压(VSP)的电压下保持相对平坦。该区域通常称为米勒平坦区(Miller Plateau)。在此时间段期间,类似于 t2,也存在漏 - 源电压降,并且有显著电流流过器件。因此,t3 是开关周期会产生损耗的一个时间段。==>VGS电平进入僵持阶段,MOSFET通道的深度加强,VDS压差下降,损耗递减,为转折点。
4、在超出时间段 t3 时,MOSFET 通道增强,最高至 VGS达到其最大值的电压点??厮鸷囊丫V?,传导损耗开始出现,直到上桥臂 MOSFET 关闭为止。关闭事件的情形是非常类似的,以开启事件的相反形式发生。===>VGS电平突破僵持继续上升,MOSFET的通道继续增强,开关损耗退出舞台,传导损耗登场。
MOSFET的关闭过程的损耗与上述描述类似,步骤相反而已,所以开关损耗包括开启和关闭两部分,经提炼计算公式如下。

同步Buck还有一个下臂MOSFET,但是它是接近零电压开启的也就是没有像上管那样会有巨大的Vds压差,所以下臂MOSFET的开关损耗是不被讨论。
(二)、传导损耗的计算
1)、MOSFET的传导损耗,上下臂MOSFET的表述一致只是所占时间段不一样,用占空比区分。
上臂MOSFET的传导损耗:

下臂MOSFET的传导损耗(只针对同步Buck):

2)、续流二极管的传导损耗(只针对非同步Buck)

VFD为续流二极管的正向导通压降。
3)、电感损耗

请注意,该功率损耗并不取决于占空比,因为电感总是进行传导。
(三)、其它损耗的分析
MOSFET除了开关和传导损之外,还有少量损耗由于其它因素引起的,因为所占比重较低,所以在非精确计算时一般被忽略。
1)、对栅极寄生电容充电引起的损耗,上下臂MOSFET的计算方式一致,公式如下:

2)、同步Buck的下臂MOSFET的体二极管的反向恢复损耗:

3)、每个开关周期对上下臂MOSFET的输出电容Coss(Cgd+Cds)进行充电引起的损耗:

4)、当同步降压转换器中的两个开关均关闭时,下桥臂 MOSFET 的体二极管将开启。在此期间(称为死区(Dead Time,DT)),体二极管中将出现传导损耗。这些损耗可以描述为:

请注意,该公式中的 DT 包含上升沿和下降沿之和。
5)、芯片本身损耗

三、黑盒和白盒的协同
白盒和黑盒两种计算方式各有千秋,黑盒方式虽简单粗暴但是有效,白盒方式虽精打细算但是很多参数无法精确获得。譬如 RDS(ON) 取决于器件的结温,而损耗会使结温升高,为了得到精确的结果,需要进行迭代计算,这些迭代必须执行到器件的结温稳定(通常到 < 1%)为止,这无疑增加了计算的复杂性和难度。
在工程应用中,我们需要避免复杂的计算公式,所以比较简便实用的方式是先用黑盒的方式计算得到电源的整体耗散功率,然后使用白盒方式计算外围关键器件的耗散功率,两者相减就是在芯片上耗散的功率,然后再根据热电阻等参数进行热耗分析??氐缭吹墓丶馕骷话憔褪堑绺?、续流二极管或MOSFET,所以计算比较简单。
四、热耗分析
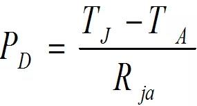
耗散功率的计算最后需要换算为热耗才会有实际意义,这是是否需要额外增加散热措施的参考依据。
耗散功率与热耗之间的联系纽带是热阻,如图1.7与1.8所示

图1.7 无散热片的热阻

图1.8 带散热片的热阻计算
在进行热耗分析时,根据内核至环境的热阻Rja及芯片的耗散功率Pd可估算出芯片在特定的环境温度Ta下的内核温度Tj,以芯片的内核温度Tj是否超过了极值Tjmax作为判断芯片是否安全的依据。计算公式如下:

开关电源主要用途
开关电源产品广泛应用于工业自动化控制、军工设备、科研设备、LED照明、工控设备、通讯设备、电力设备、仪器仪表、医疗设备、半导体制冷制热、空气净化器,电子冰箱,液晶显示器,LED灯具,通讯设备,视听产品,安防监控,LED灯带,电脑机箱,数码产品和仪器类等领域。
开关电源基本组成部分
开关电源大致由主电路、制电路、检测电路、辅助电源四大部份组成。
1、主电路
冲击电流限幅:限制接通电源瞬间输入侧的冲击电流。
输入滤波器:其作用是过滤电网存在的杂波及阻碍本机产生的杂波反馈回电网。
整流与滤波:将电网交流电源直接整流为较平滑的直流电。
逆变:将整流后的直流电变为高频交流电,这是高频开关电源的核心部分。
输出整流与滤波:根据负载需要,提供稳定可靠的直流电源。
2、控制电路
一方面从输出端取样,与设定值进行比较,然后去控制逆变器,改变其脉宽或脉频,使输出稳定,另一方面,根据测试电路提供的数据,经?;さ缏芳?,提供控制电路对电源进行各种?;ご胧?。
3、检测电路
提供保护电路中正在运行中各种参数和各种仪表数据。
4、辅助电源
实现电源的软件(远程)启动,为?;さ缏泛涂刂频缏罚≒WM等芯片)工作供电。
烜芯微专业制造二极管,三极管,MOS管,桥堆20年,工厂直销省20%,1500家电路电器生产企业选用,专业的工程师帮您稳定好每一批产品,如果您有遇到什么需要帮助解决的,可以点击右边的工程师,或者点击销售经理给您精准的报价以及产品介绍
烜芯微专业制造二极管,三极管,MOS管,桥堆20年,工厂直销省20%,1500家电路电器生产企业选用,专业的工程师帮您稳定好每一批产品,如果您有遇到什么需要帮助解决的,可以点击右边的工程师,或者点击销售经理给您精准的报价以及产品介绍