半桥
半桥谐振LLC+CoolMOS开关管?电路结构,半桥结构如图所示,它是两个功率开关器件(如 MOS 管)以图腾柱的形式相连接,以中间点作为输出,提供方波信号。这种结构在 PWM 电机控制、DC-AC逆变、电子镇流器等场合有着广泛的应用。半桥结构如图所示,它是两个功率开关器件(如 MOS 管)以图腾柱的形式相连接,以中间点作为输出,提供方波信号。
这种结构在 PWM 电机控制、DC-AC逆变、电子镇流器等场合有着广泛的应用。上下两个管子由反相的信号控制,当一个功率管开时,另一个关断,这样在输出点 OUT 就得到电压从 0 到 VHV的脉冲信号。由于开关延时的存在,当其中的一个管子栅极信号变为低时,它并不会立刻关断,因此一个管子必须在另一个管子关断后一定时间方可开启,以防止同时开启造成的电流穿通,这个时间称为死区时间,如图中Td所示。
下图为半桥电路结构及高低侧驱动信号,半桥电路相较全桥电路具有成本低、控制相对容易的优势,但是由于半桥电路的变压器输入电压仅为约正负(1/2)Vin,相较全桥电路当输入电压输出电压相同时,传递相同的功率半桥电路原边开关管承受的电流应力要比全桥电路大得多(约为两倍),半桥电路一般应用于中小功率(1KW以下)场合。

LLC与CoolMOS概述
近来,LLC拓扑以其高效,高功率密度受到广大电源设计工程师的青睐,但是这种软开关拓扑对MOSFET 的要求却超过了以往任何一种硬开关拓扑。特别是在电源启机,动态负载,过载,短路等情况下。CoolMOS 以其快恢复体二极管 ,低Qg 和Coss能够完全满足这些需求并大大提升电源系统的可靠性。
长期以来, 提升电源系统功率密度,效率以及系统的可靠性一直是研发人员面临的重大课题。提升电源的开关频率是其中的方法之一, 但是频率的提升会影响到功率器件的开关损耗,使得提升频率对硬开关拓扑来说效果并不十分明显,硬开关拓扑已经达到了它的设计瓶颈。
而此时,软开关拓扑,如LLC拓扑以其独具的特点受到广大设计工程师的追捧。但是这种拓扑却对功率器件提出了新的要求。
LLC 电路的特点
LLC 拓扑的以下特点使其广泛的应用于各种开关电源之中:
1. LLC 转换器可以在宽负载范围内实现零电压开关。
2. 能够在输入电压和负载大范围变化的情况下调节输出,同时开关频率变化相对很小。
3. 采用频率控制,上下管的占空比都为50%.
4. 减小次级同步整流MOSFET的电压应力 ,可以采用更低的电压MOSFET从而减少成本。
5. 无需输出电感 ,可以进一步降低系统成本。
6. 采用更低电压的同步整流MOSFET, 可以进一步提升效率。
LLC 电路的基本结构以及工作原理
图1和图2分别给出了LLC谐振变换器的典型线路和工作波形。如图1所示LLC转换器包括两个功率MOSFET(Q1和Q2),其占空比都为0.5;谐振电容 Cr,副边匝数相等的中心抽头变压器Tr,等效电感Lr,励磁电感Lm,全波整流二极管D1和D2以及输出电容Co。

图1 LLC谐振变换器的典型线路

图2 LLC谐振变换器的工作波形
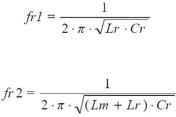
而LLC有两个谐振频率,Cr, Lr 决定谐振频率fr1; 而Lm, Lr, Cr决定谐振频率fr2。
系统的负载变化时会造成系统工作频率的变化,当负载增加时, MOSFET开关频率减小, 当负载减小时,开关频率增大。

1、LLC谐振变换器的工作时序
LLC变换器的稳态工作原理如下。
1)〔t1,t2〕
Q1关断,Q2开通,电感Lr和Cr进行谐振,次级D1关断,D2开通,二极管D1约为两倍输出电压,此时能量从Cr, Lr转换至次级。直到Q2关断。
2)〔t2,t3〕
Q1和Q2同时关断,此时处于死区时间, 此时电感Lr, Lm电流 给Q2的输出电容充电,给Q1的输出电容放电直到Q2输出电容的电压等于Vin.
次级D1和D2关断 Vd1=Vd2=0, 当Q1开通时该相位结束。
3)〔t3,t4〕
Q1导通,Q2关断。D1导通, D2关断, 此时Vd2=2Vout
Cr和Lr谐振在fr1, 此时Ls的电流通过Q1返回到Vin,直到Lr的电流为零次相位结束。
4)〔t4,t5〕
Q1导通, Q2关断, D1导通, D2关断,Vd2=2Vout
Cr和Lr谐振在fr1, Lr的电流反向通过Q1流回功率地。能量从输入转换到次级,直到Q1关断该相位结束
5)〔t5,t6)
Q1,Q2同时关断, D1,D2关断, 原边电流I(Lr+Lm)给Q1的Coss充电, 给Coss2放电, 直到Q2的Coss电压为零。此时Q2二极管开始导通。Q2开通时相位结束。
6)〔t6,t7〕
Q1关断,Q2导通,D1关断, D2 开通,Cr和Ls谐振在频率fr1, Lr 电流经Q2回到地。当Lr电流为零时相位结束。
2、LLC谐振转换器异常状态分析
以上描述都是LLC工作在谐振模式, 接下来我们分析LLC转换器在启机, 短路, 动态负载下的工作情况。
A、启机状态分析
通过LLC仿真我们得到如图3所示的波形,在启机第一个开关周期,上下管会同时出现一个短暂的峰值电流Ids1和Ids2。由于MOSFET Q1开通时会给下管Q2的输出电容Coss充电,当Vds为高电平时充电结束。而峰值电流Ids1和Ids2也正是由于Vin通过MOSFET Q1给Q2结电容Coss的充电而产生。

图3 LLC 仿真波形
我们将焦点放在第二个开关周期时如图4,我们发现此时也会出现跟第一个开关周期类似的尖峰电流,而且峰值会更高,同时MOSFET Q2 Vds也出现一个很高的dv/dt峰值电压。那么这个峰值电流的是否仍然是Coss引起的呢?我们来做进一步的研究。

图4 第二个开关周期波形图
对MOSFET结构有一定了解的工程师都知道,MOSFET不同于IGBT,在MOSFET内部其实寄生有一个体二极管,跟普通二极管一样在截止过程中都需要中和载流子才能反向恢复, 而只有二极管两端加上反向电压才能够使这个反向恢复快速完成,而反向恢复所需的能量跟二极管的电荷量Qrr相关,而体二极管的反向恢复同样需要在体二极管两端加上一个反向电压。
在启机时加在二极管两端的电压Vd=Id2 x Ron. 而Id2在启机时几乎为零,而二极管在Vd较低时需要很长的时间来进行反向恢复。如果死区时间设置不够,如图5所示高的dv/dt会直接触发MOSFET内的BJT从而击穿 MOSFET。

图5 高的dv/dt会直接触发MOSFET内的BJT从而击穿 MOSFET
通过实际的测试 ,我们可以重复到类似的波形,第二个开关周期产生远比第一个开关周期高的峰值电流,同时当MOSFET在启机的时dv/dt高118.4V/ns. 而Vds电压更是超出了600V的最大值。MOSFET在启机时存在风险。

图6 实际测试的波形
B、异常状态分析
下面我们继续分析在负载剧烈变化时,对LLC拓扑来说存在那些潜在的风险。
在负载剧烈变化时,如短路,动态负载等状态时,LLC电路的关键器件MOSFET同样也面临着挑战。
通常负载变化时LLC 都会经历以下3个状态。我们称之为硬关断, 而右图中我们可以比较在这3个时序当中,传统MOSFET和CoolMOS内部载流子变化的不同, 以及对MOSFET带来的风险。

时序1, Q2零电压开通,反向电流经过MOSFET和体二极管, 此时次级二极管D2开通,D1关段。
传统MOSFET此时电子电流经沟道区,从而减少空穴数量。
CoolMOS此时同传统MOSFET一样电子电流经沟道,穴减少,不同的是此时CoolMOS 的P井结构开始建立。

时序2, Q1和Q2同时关断,反向电流经过MOSFETQ2体二极管。
Q1和Q2关断时对于传统MOSFET和CoolMOS来说内部电子和空穴路径和流向并没有太大的区别。

时序3, Q1此时开始导通,由于负载的变化,此时MOSFET Q2的体二极管需要很长的时间来反向恢复。当二极管反向恢复没有完成时MOSFET Q2出现硬关断,此时Q1开通,加在Q2体二极管上的电压会在二极管形成一个大电流从而触发MOSFET内部的BJT造成雪崩。
-传统MOSFET此时载流子抽出,此时电子聚集在PN节周围, 空穴电流拥堵在PN节边缘。
-CoolMOS的电子电流和空穴电流各行其道, 此时空穴电流在已建立好的P井结构中流动,并无电子拥堵现象。
综上, 当LLC电路出现过载,短路,动态负载等条件下,一旦二极管在死区时间不能及时反向恢复, 产生的巨大的复合电流会触发MOSFET内部的BJT使MOSFET失效。有的 CoolMOS采用Super Juction结构,这种结构在MOSFET硬关断的状态下,载流子会沿垂直构建的P井中复合, 基本上没有侧向电流, 大大减少触发BJT的机会。
如何更容易实现ZVS
通过以上的分析,可以看到增加MOSFET的死区时间,可以提供足够的二极管反向恢复时间同时降低高dv/dt, di/dt 对LLC电路造成的风险。但是增加死区时间是唯一的选择么?下面我们进一步分析如何够降低风险提升系统效率。

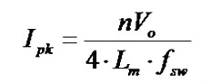
对于LLC 电路来说死区时间的初始电流为

而LLC能够实现ZVS必须满足

而最小励磁电感为

根据以上3个等式,我们可以通过以下三种方式让LLC实现ZVS。
第一, 增加Ipk。
第二, 增加死区时间。
第三, 减小等效电容Ceq即Coss。
从以上几种状况,我们不难分析出。增加Ipk会增加电感尺寸以及成本,增加死区时间会降低正常工作时的电压,而最好的选择无疑是减小Coss,因为减小无须对电路做任何调整,只需要换上一个Coss相对较小MOSFET即可。
总结
LLC 拓扑广泛的应用于各种开关电源当中,而这种拓扑在提升效率的同时也对MOSFET提出了新的要求。不同于硬开关拓扑,软开关LLC谐振拓扑不仅仅对MOSFET的导通电阻(导通损耗)、Qg(开关损耗)有要求,同时对于如何能够有效的实现软开关,如何降低失效率,提升系统可靠性,降低系统的成本有更高的要求。CoolMOS,具有快速的体二极管,低Coss,有的可高达650V的击穿电压,使LLC拓扑开关电源具有更高的效率和可靠性。
烜芯微专业制造二极管,三极管,MOS管,20年,工厂直销省20%,1500家电路电器生产企业选用,专业的工程师帮您稳定好每一批产品,如果您有遇到什么需要帮助解决的,可以点击右边的工程师,或者点击销售经理给您精准的报价以及产品介绍
烜芯微专业制造二极管,三极管,MOS管,20年,工厂直销省20%,1500家电路电器生产企业选用,专业的工程师帮您稳定好每一批产品,如果您有遇到什么需要帮助解决的,可以点击右边的工程师,或者点击销售经理给您精准的报价以及产品介绍