为了构成集成电路电阻,可以淀积一层具有阻值的薄膜在硅衬底上,然后运用图形曝光技术和刻蚀定出其图样,也可以在生长于硅衬底上的热氧化层上开窗,然后写入(或是涣散)相反导电型杂质到晶片内,图14.3闪现运用后者方法构成的两个电阻的顶视图和截面图,一个是曲折型,另一个是直条型.
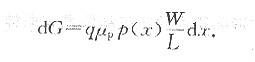
首要考虑直条型电阻.在距表面深为х处、平行于表面厚度dχ的p型材料薄膜层的微分电导dG(如B-B截面所示)为式


中w是直条的宽度,L是直条的长度(假定先忽略端点的触摸面积),μp是窄穴迁移率,p为掺杂的浓度,这个直条型电阻的悉数写入区的电导为


此处xi是结深度.假定",的值(为空穴浓度的函数)和p(χ)散布是已知的,则由式(2),可以求得悉数电导为
此处,一个正方形电阻的电导,也就是当L=w时,G=g.因此,电阻为


此处l/g通常用符号R口定义,称为薄层电阻(sheet resistance,又称为方块电阻).薄层电阻的单位是Q,但习惯上以欧/方块(Ω/口)为单位.


由如图14.3所示的掩模版定义出不同的几何图样,可同时在一个集成电路中制造出许多不同阻值的电阻.因为对所有电阻而言工艺步骤是相同的,因此将电阻值的大小分成两部分是很方便的:由离子注入(或是扩散)工艺决定薄层电阻(R□);由图样尺寸决定L/W 例.一旦R口已知,电阻值可以由L/W的份额得知,或是由电阻图样中的方块数目得知(每个方块的面积为WXW).端点触摸面积会添加额定的电阻值至集成电路电阻中,就图)4.3中类型的电阻,每个端点触摸对应到大概o.65个方块.对曲折型电阻而言,在曲折处的电场线散布不是均匀地跨过电阻的宽度,而是密布于内侧的转角处.因此在曲折处的一个方块并不精确地等于一个方块,而是约为o.65个方块.
烜芯微专业制造二极管,三极管,MOS管,20年,工厂直销省20%,1500家电路电器生产企业选用,专业的工程师帮您稳定好每一批产品,如果您有遇到什么需要帮助解决的,可以点击右边的工程师,或者点击销售经理给您精准的报价以及产品介绍
烜芯微专业制造二极管,三极管,MOS管,20年,工厂直销省20%,1500家电路电器生产企业选用,专业的工程师帮您稳定好每一批产品,如果您有遇到什么需要帮助解决的,可以点击右边的工程师,或者点击销售经理给您精准的报价以及产品介绍