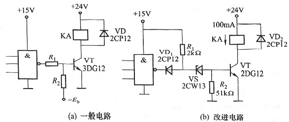
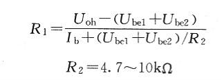
假如CMOS电路的负载(执行元件)是继电器,则电路必需具有较大的带负载才能。图7-6所示为非门驱动一个分立元件的开关放大器件的接口电路。
图7-6(a)、(b)中三极管的集电极负载为继电器KA线圈。其工作电流为lOOmA。若晶体管的β=25,则需求4mA的基极电流。这对与非门来说是个拉电流负载。如与非门不能提供这样大的拉电流,可采用图7-6(b)所示的电路。由电阻Ri、二极管VD1和稳压管Vs组成变换电路。当与非门输出高电平常,VD1截止。VS击穿,晶体管VT的基极电流由+15V电源经R1、VS和V1的发射结来提供,VT导通,继电器KA吸合。当与非门输出低电1平常,灌电流经+15V电源经R1、VDi流入与非门,这个电流只要几毫安,这样可防止冈拉电流过大而惹起输出高电平的降落。这时VS截止,VT截止,KA释放。




在图7—6(a)所示电路中,R2普通可取4.7~10kΩ,简化时也可不用。R1的选取应使晶体管取得足够的基极电流而到达饱和。设继电器KA的工作电流为Ic=50mA,晶体管的β=30,而普通CMOS输出高电平Uoh =2. 7~4. 2V,则


式中 Ube一——管的正向压降, 普通取o.65-0. 75V。
关于图7-6(c)所示电路,由三极管VT1, VT2组成达林顿电路。其放大倍数β=β1β2(β1、β2分别为VT1和VT2的放大倍数),VT1所需求的基极电流为


电阻R1、R2可按下式选取:

烜芯微专业制造二极管,三极管,MOS管,20年,工厂直销省20%,1500家电路电器生产企业选用,专业的工程师帮您稳定好每一批产品,如果您有遇到什么需要帮助解决的,可以点击右边的工程师,或者点击销售经理给您精准的报价以及产品介绍