为了放大模仿信号必需运用有源器件。MOS晶体管就是一种频繁运用的有源器件。MOS晶体管的三个端子中有两个分别是输入端和输出端?;褂械谌龆俗樱飧龆俗庸潭ㄎ欢ǖ牡缥痪湍芄还钩扇址糯蟮缏?。就是说,源极、栅极、漏极中的某个极衔接到固定电位上,就可以分别构成源极接地、栅极接地、漏极接地三种放大电路。
端子不一定非要接地(GND)才干固定电位,为什么要“接地”?由于关于被放大的信号来说,电位固定的端子可以看作交流接地。另外,就MOS晶体管的输入输出端的分配来说,电绝缘的栅极不能作为输出端运用,所以可以组合起来的放大电路就如表3.1所列。


源极接地放大电路
表3.1所示的放大电路中,源极接地放大电路是最常用的模仿电路。所以首先对源极接地放大电路的放大功用停止讨论。
如前所述,简直一切模仿电路中的MOS晶体管都是工作在饱和区。在饱和区,即便改动漏极电压VDS,其漏极电流ID简直不增加。换句话说,MOS晶体管是工作在输出电阻r。十分大的偏置条件下。为了便于了解放大的原理,首先思索假设输出电阻ro(=νds/id)无限大条件下的状况。这里的νds是漏极电压的微小变化量,id是漏极电流的微小变化量(以下ν、i等小写字母都是表示微小变化量)。然后再来计算输出电阻为有限值时的电压增益。
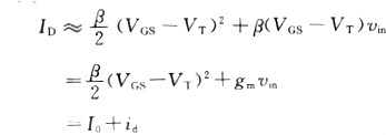
如图3.1所示,给MOS晶体管的栅极加直流偏压VGS,再加模仿信号电压νin,于是,漏极端(输出)除产生直流电流成分之外,还有与输入信号νin成比例的小信号电流id=gmνin流过:

式中,VT为MOS晶体管的阈值电压;β为与沟道长宽比等有关的参量(β≡(w/L)μCox);gm为跨导。
式(3.1)中的输人信号νin十分小,假定级数展开的2次项以上的高次项能够疏忽不计。式(3.1)右边第一项表示与栅极电压VGS相对应的直流漏极电流Io,第二项是与输入信号νin相对应的输出漏极电流ido在解析放大电路时,假定信号电压νin十分小,这时电路的工作都可看作是线性的(近似直线),因此计算就变得十分简单。
式(3.1)中,当只思索与放大有关的信号成分(右边第二项)时,源极接地的MOS晶体管就能够看作具有将输入的小信号电压uin变换为电流ia=gmvin功用的器件。

现在讨论将这个信号成分作为输出电压取出的方法。按照欧姆定律,当小信号电流id流过电阻R时,电阻两端产生电压idR。利用这个原理,就能够取出放大后的信号。
例如,如图3.2所示,将电压-电流变换器件MOS晶体管与负载电阻Rload连接,并流过式(3.1)所示的电流I(=直流成分lo+小信号成分id),那么输出电压就是VDD-Rload(Io+id)。其中直流电压成分VDD-RloadIo中不包含信号信息,所以没有取出处理的必要。而包含小信号电流的输出信号电压Vout= —Rload.id必须放大输出。按照欧姆定律,如果负载电阻Rload大,那么输出信号νout也就大。Rload前面的负号意味着输出信号相对于电流信号成分id以反相位输出。


所以这个电路的输入、输出信号间的关系可整理如下:

由式(3.2)能够得到源极接地放大电路的电压增益为


从这个结果能够看出,为了取得高的增益,应该运用具有大跨导gm的有源器件与大的负载电阻Rload相衔接。
上面的阐明中,假定次级的输入负载电阻Rin比MOS晶体管的输出电阻ro大得多。但是,实践的源极接地电路的有效输出电阻是负载电阻Rload与MOS晶体管的输出电阻r。以及次级的输入负载电阻Rin呈并联衔接的,要用这样的放大电路驱动R。小的电路并非上策。所以,下面思索Rin十分大而且r。也是实践值的状况。
电路原理
CMOS模仿集成电路中,更多的状况是图3.2的负载电阻Rload并不是单纯的电阻元件,而是由MOS晶体管的输出电阻ro替代。
(1)负载电阻采用MOS晶体管的话,能够流过更多的电流用来驱动MOS晶体管,这意味着驱动器件的9m大。
(2)改动负载MOS晶体管的尺寸或偏置条件,就可以门由地调整输出电阻ro的值。
(3) MOS晶体管占有的面积比电阻元件小。
图3.3示出用P沟MOS晶体管的输出电阻rop交换图3.2中的负载电阻Pload的源极接地放大电路。这个电路的有效输出电阻R能够经过下面的实验求得。
假如增人输出端电压νout流入驱动器件N沟MOS晶体管的漏极电流νout/ron就增加。这一点能够从输出电阻的定义式得到阐明。而负载一侧的P沟MoS晶体管中则相反,自漏极流出的电流νout/rop减少,所以在流入输出端的有效电流iout与νout之间下面的关系式成立:


式中,ron、rop分别是N沟MOS晶体管和P沟MOS晶体管的输出电阻。从式(3.3)能够看出,用P沟MOS晶体管作为负载的源极接地放大电路的有效输出电阻R,如图3.3的右图所示那样,与输出端衔接的两个MOS晶体管的漏极电阻(ron,rop)的并联电阻等价。即

rop∥ron表示rop与ron并联衔接的合成电阻。当次级的输入电阻Rin影响不可疏忽时,R就表示为:

放大电路的电压增益Ao由MOS晶体管的漏极电阻ro与跨导gm之积给出输出电阻ro与电流成反比。驱动一侧的MOS晶体管的gm与I成比例(参考第2章式(2.6))。因而,如图3.4所示,源极接地放大电路的增益|Ao|=gmR与流过MOS晶体管的电流f的平方根成反比。但是,为了取得高增益,减小电流I的话就不能快速驱动次级电路,所以实践的放大电路中,在耗费功率与高速响应之间取恰当的折中。普通来说,CMOS电路以放大增益为目的时的gmro为几十倍的大小还是容易得到的。

烜芯微专业制造二极管,三极管,MOS管,20年,工厂直销省20%,1500家电路电器生产企业选用,专业的工程师帮您稳定好每一批产品,如果您有遇到什么需要帮助解决的,可以点击右边的工程师,或者点击销售经理给您精准的报价以及产品介绍