MOS管直流偏置电路
MOS管的单电源直流偏置电路有两种:
1、只能用于结型和耗尽型MOS管的自给偏置电路。
2、可用于各种MOS管的分压式偏置电路
自给MOS管偏置电路
(1)图解法


根据图中电路的输出回路列出直流负载线方程


再根据输入回路列出直流负载线方程




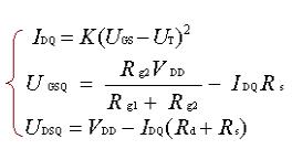
(2)计算法(列方程组求解)


式中的IDSS和UP可以从特性曲线上求出,或者从产品手册上查到。
自给MOS管偏置电路的缺点是:
当伟提高稳定工作点的能力而增大RS时,IDQ减小,(Q下移),使gm和AU随之减少。


分压式偏置电路
将转移性的近似函数式与根据电路列出的直流电压方程联立,就可求解静态工作点。




分压式自偏压电路可通过调整电阻分压比来改善静态工作点。
MOS管高阻抗偏置电路图及说明
下图所示为MOS场效应管高祖偏置的电路图。场效应管在工作中让其输入回路的PN结工作于反向偏置,以减小输入电流,提高输入电阻。MOS场效应管是通过改变UGS来改变栅极下方半导体中的电场强度,控制感应电荷的多少,进而控制导电沟道的导电能力。


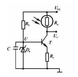
MOS管恒流偏置电路
通常,当RL?R时,流过光敏电阻的电流基本不变,此时的偏置电路称为恒流电路。然而,光敏电阻自身的阻值已经很高,再满足恒流偏置的条件就难以满足电路输出阻抗的要求,为此,可引入如下图所示的晶体管恒流偏置电路。


稳压管DW将晶体三极管的基极电压稳定,即UB=UW,流过晶体三极管发射极的电流Ie为

烜芯微专业制造二三极管,MOS管,20年,工厂直销省20%,1500家电路电器生产企业选用,专业的工程师帮您稳定好每一批产品,如果您有遇到什么需要帮助解决的,可以点击右边的工程师,或者点击销售经理给您精准的报价以及产品介绍

烜芯微专业制造二三极管,MOS管,20年,工厂直销省20%,1500家电路电器生产企业选用,专业的工程师帮您稳定好每一批产品,如果您有遇到什么需要帮助解决的,可以点击右边的工程师,或者点击销售经理给您精准的报价以及产品介绍