MOS管四个区域详解
下面讲述MOS管场效应管的四个区域:
1)可变电阻区(也称非饱和区)
满足Ucs》Ucs(th)(开启电压),uDs《UGs-Ucs(th),为图中预夹断轨迹左边的区域其沟道开启。在该区域UDs值较小,沟道电阻基本上仅受UGs控制。当uGs一定时,ip与uDs成线性关系,该区域近似为一组直线。这时场效管D、S间相当于一个受电压UGS控制的可变电阻。
2)恒流区(也称饱和区、放大区、有源区)
满足Ucs≥Ucs(h)且Ubs≥UcsUssth),为图中预夹断轨迹右边、但尚未击穿的区域,在该区域内,当uGs一定时,ib几乎不随UDs而变化,呈恒流特性。i仅受UGs控制,这时场效应管D、S间相当于一个受电压uGs控制的电流源。场效应管用于放大电路时,一般就工作在该区域,所以也称为放大区。
3)夹断区(也称截止区)
夹断区(也称截止区)满足ucs《Ues(th)为图中靠近横轴的区域,其沟道被全部夹断,称为全夹断,io=0,管子不工作。
4)击穿区位
击穿区位于图中右边的区域。随着UDs的不断增大,pn结因承受太大的反向电压而击穿,ip急剧增加。工作时应避免管子工作在击穿区。
转移特性曲线可以从输出特性曲线。上用作图的方法求得。例如在下图( a)中作Ubs=6V的垂直线,将其与各条曲线的交点对应的i、Us值在ib- Uss 坐标中连成曲线,即得到转移性曲线,如图下(b)所示。


mos场效应管的参数
场效应管的参数很多,包括直流参数、交流参数和极限参数,但普通运用时只需关注以下主要参数:饱和漏源电流IDSS夹断电压Up,(结型管和耗尽型绝缘栅管,或开启电压UT(加强型绝缘栅管)、跨导gm、漏源击穿电压BUDS、最大耗散功率PDSM和最大漏源电流IDSM。
(1)饱和漏源电流
饱和漏源电流IDSS是指结型或耗尽型绝缘栅场效应管中,栅极电压UGS=0时的漏源电流。
(2)夹断电压
夹断电压UP是指结型或耗尽型绝缘栅场效应管中,使漏源间刚截止时的栅极电压。如同4-25所示为N沟道管的UGS一ID曲线,可明白看出IDSS和UP的意义。如图4-26所示为P沟道管的UGS-ID曲线。


(3)开启电压
开启电压UT是指加强型绝缘栅场效应管中,使漏源间刚导通时的栅极电压。如图4-27所示为N沟道管的UGS-ID曲线,可明白看出UT的意义。如图4-28所示为P沟道管的UGS-ID曲线。


(4)跨导
跨导gm是表示栅源电压UGS对漏极电流ID的控制才能,即漏极电流ID变化量与栅源电压UGS变化量的比值。9m是权衡场效应管放大才能的重要参数。(5)漏源击穿电压
漏源击穿电压BUDS是指栅源电压UGS一定时,场效应管正常工作所能接受的最大漏源电压。这是一项极限参数,加在场效应管上的工作电压必需小于BUDS。
(6)最大耗散功率
最大耗散功率PDSM也是—项极限参数,是指场效应管性能不变坏时所允许的最大漏源耗散功率。运用时场效应管实践功耗应小于PDSM并留有—定余量。
(7)最大漏源电流
最大漏源电流IDSM是另一项极限参数,是指场效应管正常工作时,漏源间所允许经过的最大电流。场效应管的工作电流不应超越IDSM。
如何判断MOS管场效应管工作在那个区域
(一)沟道长度修正
当V_DS>V_GS-V_TH时,沟道中出现夹断效应,沟道的长度对略微减小。很多场景我们可以忽略这个长度的变化,但是当精度要求比较高的时候,我们就需要把沟道长度的变化考虑进来??聪旅媸阶?br />


因为沟道的有效长度L会随着V_DS的增大而略微减小,所以I_D会随着V_DS的增大而略微增大。我们可以用下面式子来表示I_D


这里如果不考虑沟道长度变化,V_A为无穷大,考虑沟道长度变化时,V_A为有限值。I_D随V_DS的变化的伏安特性曲线为:


(二)MOSFET的结构和电学特性总结
1、MOSFET由金属层-绝缘层-半导体基板三层结构组成。现在绝大多数金属层以多晶硅取代金属作为其栅极材料,但是原理不变。绝缘层通常是二氧化硅。
2、MOSFET是对称的,只有栅极是确定的,哪一端是源级,哪一端是漏极只有加载了电压才能确定。对于NMOS来说,它靠电子导电,电子的“源泉”定义为源级。所以电压低的一端是源级,电压高的一端是漏极。(NMOS和PMOS的特点和区别下期详细介绍)
3、沟道中电荷数量不是均匀分布的,靠近源级的一端电荷数量多,靠近漏极的一端电荷数量少。
4、当栅极电压超过源级电压V_TH时,沟道中就聚集了足够多的电荷,只要源级和漏极有电压差,在电压的驱使下,这些电荷就能流动形成电流。
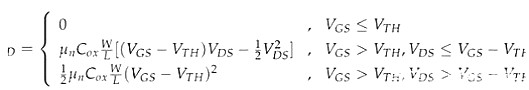
5、伏安特性曲线表达式:


① 当 V_GS<=V_TH时,称为截止区,源级与漏极不导电。
② 当 V_GS>V_TH && V_DS<=V_GS-V_TH时,源级和漏极之间导电,I_D即和V_GS有关,又和V_DS有关,称为三级区。(数字电路通常工作在三级区,关注我,后面会慢慢讲到)
③ 当 V_GS>V_TH && V_DS>V_GS-V_TH时,源级和漏极之间导电,沟道中存在夹断效应,I_D只和V_GS有关(在不考虑沟道长度变化的情况下),此时,MOSFET为一个受控电流源,受V_GS控制,此时称为饱和区。
烜芯微专业制造二三极管,MOS管,20年,工厂直销省20%,1500家电路电器生产企业选用,专业的工程师帮您稳定好每一批产品,如果您有遇到什么需要帮助解决的,可以点击右边的工程师,或者点击销售经理给您精准的报价以及产品介绍
烜芯微专业制造二三极管,MOS管,20年,工厂直销省20%,1500家电路电器生产企业选用,专业的工程师帮您稳定好每一批产品,如果您有遇到什么需要帮助解决的,可以点击右边的工程师,或者点击销售经理给您精准的报价以及产品介绍