MOSFET
MOSFET简称金氧半场效晶体管(Metal-Oxide-Semiconductor Field-Effect Transistor, MOSFET)是一种可以广泛使用在模拟电路与数字电路的场效晶体管(field-effect transistor)。MOSFET依照其“通道”(工作载流子)的极性不同,可分为“N型”与“P型” 的两种类型,通常又称为NMOSFET与PMOSFET,其他简称尚包括NMOS、PMOS等。


MOSFET的主要参数
场效应管的参数很多,包括直流参数、交流参数和极限参数,但一般使用时关注以下主要参数:
1、IDSS—饱和漏源电流。是指结型或耗尽型绝缘栅场效应管中,栅极电压UGS=0时的漏源电流。
2、UP—夹断电压。是指结型或耗尽型绝缘栅场效应管中,使漏源间刚截止时的栅极电压。
3、UT—开启电压。是指增强型绝缘栅场效管中,使漏源间刚导通时的栅极电压。
4、gM—跨导。是表示栅源电压UGS—对漏极电流ID的控制能力,即漏极电流ID变化量与栅源电压UGS变化量的比值。gM是衡量场效应管放大能力的重要参数。
5、BUDS—漏源击穿电压。是指栅源电压UGS一定时,场效应管正常工作所能承受的最大漏源电压。这是一项极限参数,加在场效应管上的工作电压必须小于BUDS。
6、PDSM—最大耗散功率。也是一项极限参数,是指场效应管性能不变坏时所允许的最大漏源耗散功率。使用时,场效应管实际功耗应小于PDSM并留有一定余量。
7、IDSM—最大漏源电流。是一项极限参数,是指场效应管正常工作时,漏源间所允许通过的最大电流。场效应管的工作电流不应超过IDSM。
如何做到电源设计减少MOS管损耗的同时提升EMI性能


MOSFET作为主要的开关功率器件之一,被大量应用于模块电源。了解MOSFET的损耗组成并对其分析,有利于优化MOSFET损耗,提高??榈缭吹墓β?但是一味的减少MOSFET的损耗及其他方面的损耗,反而会引起更严重的EMI问题,导致整个系统不能稳定工作。所以需要在减少MOSFET的损耗的同时需要兼顾??榈缭吹腅MI性能。
开关管MOSFET的功耗分析
MOSFET的损耗主要有以下部分组成:1.通态损耗;2.导通损耗;3.关断损耗;4.驱动损耗;5.吸收损耗;随着模块电源的体积减小,需要将开关频率进一步提高,进而导致开通损耗和关断损耗的增加,例如300kHz的驱动频率下,开通损耗和关断损耗的比例已经是总损耗主要部分了。
MOSFET导通与关断过程中都会产生损耗,在这两个转换过程中,漏极电压与漏极电流、栅源电压与电荷之间的关系如图1和图2所示,现以导通转换过程为例进行分析:
t0-t1区间:栅极电压从0上升到门限电压Uth,开关管为导通,无漏极电流通过这一区间不产生损耗;
t1-t2区间:栅极电压达到Vth,漏极电流ID开始增加,到t2时刻达到最大值,但是漏源电压保持截止时高电平不变,从图1可以看出,此部分有VDS与ID有重叠,MOSFET功耗增大;
t2-t3区间:从t2时刻开始,漏源电压VDS开始下降,引起密勒电容效应,使得栅极电压不能上升而出现平台,t2-t3时刻电荷量等于Qgd,t3时刻开始漏极电压下降到最小值;此部分有VDS与ID有重叠,MOSFET功耗增大
t3-t4区间:栅极电压从平台上升至最后的驱动电压(??榈缭匆话闵瓒ㄎ?2V),上升的栅压使导通电阻进一步减少,MOSFET进入完全导通状态;此时损耗转化为导通损耗。
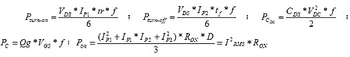
关断过程与导通过程相似,只不过是波形相反而已;关于MOSFET的导通损耗与关断损耗的分析过程,有很多文献可以参考,这里直接引用《张兴柱之MOSFET分析》的总结公式如下:


MOSFET的损耗优化方法及其利弊关系
(一)
通过降低??榈缭吹那德始跎費OSFET的损耗,EMI问题及其解决方案。


(二)通过降低、来减少MOSFET的损耗
典型的小功率模块电源(小于50W)大多采用的电路拓扑结构为反激形式,典型的控制电路如图3所示;从MOSFET的损耗分析还可以知道:与开通损耗成正比、与关断损耗成正比;所以可以通过减少 、来减少MOSFET的损耗,通常情况下,可以减小MOSFET的驱动电阻Rg来减少、时间,但是此优化方法却带来严重的EMI问题;以金升阳URB2405YMD-6WR3产品为例来说明此项问题:
1)URB2405YMD-6WR3采用10Ω的MOSFET驱动电阻,裸机辐射测试结果如下:


2)URB2405YMD-6WR3采用0Ω的驱动电阻,裸机辐射测试结果如下:


从两种不同的驱动电阻测试结果来看,虽然都能够通过EN55022的辐射骚扰度的CLASS A等级,但是采用0欧姆的驱动电阻,在水平极化方向测试结果的余量是不足3dB的,该方案设计不能被通过。
(三)降低吸收电路损耗来减少损耗
在??榈缭吹纳杓乒讨?,变压器的漏感总是存在的,采用反激拓扑式结构,往往在MOSFET截止过程中,MOSFET的漏极往往存在着很大的电压尖峰,一般情况下,MOSFET的电压设计余量是足够承受的,为了提高整体的电源效率,一些电源厂家是没有增加吸收电路(吸收电路如图3标注①RCD吸收电路和②RC吸收电路)来吸收尖峰电压的。但是,不注意这些吸收电路的设计往往也是导致EMI设计不合格的主要原因。以金升阳URF2405P-6WR3的吸收电路(采用如图3中的②RC吸收电路)为例:
1)驱动电阻Rg为27Ω,无RC吸收电路,辐射骚扰度测试结果如下:


2)驱动电阻为27Ω;吸收电路为电阻R和C 5.1Ω 470pF,辐射骚扰度测试结果如下:


从两种不同的吸收电路方案测试结果来看,不采用吸收电路的方案,是不能通过EN55022辐射骚扰度的CLASS A等级,而采用吸收电路,则可以解决辐射骚扰度实验不通过的问题,通过不同的RC组合方式可进一步降低辐射骚扰。
MOSFET的功耗优化工作实际上是一个系统工程,部分优化方案甚至会影响EMI的特性变化。上述案例中,金升阳R3系列产品将节能环保的理念深入到电源的开发过程中,很好地平衡了电源整体效率与EMI特性,从而进一步优化了电源参数。将电源参数进一步优化,更能兼容客户系统,并发挥真正的电子系统“心脏”作用,源源不断的输送能量。
如何减少mos管损耗的方法
1、晶体管缓冲电路
早期电源多采用此线路技术。采用此电路,功率损耗虽有所减小,但仍不是很理想。
①减少导通损耗在变压器次级线圈后面加饱和电感,加反向恢复时间快的二极管,利用饱和电感阻碍电流变化的特性,限制电流上升的速率,使电流与电压的波形尽可能小地重叠。
②减少截止损耗加R、C吸收网络,推迟变压器反激电压发生时间,最好在电流为0时产生反激电压,此时功率损耗为0。该电路利用电容上电压不能突变的特性,推迟反激电压发生时间。为了增加可靠性,也可在功率管上加R、C。但是此电路有明显缺点:因为电阻的存在,导致吸收网络有损耗。
2、谐振电路
该电路只改变开关瞬间电流波形,不改变导通时电流波形。只要选择好合适的L、C,结合二极管结电容和变压器漏感,就能保证电压为0时,开关管导通或截止。因此,采用谐振技术可使开关损耗很小。所以,SWITCHTEC电源开关频率可以做到术结构380kHz的高频率。
3、软开关技术
该电路是在全桥逆变电路中加入电容和二极管。二极管在开关管导通时起钳位作用,并构成泻放回路,泻放电流。电容在反激电压作用下,电容被充电,电压不能突然增加,当电压比较大的时侯,电流已经为0。
烜芯微专业制造二三极管,MOS管,20年,工厂直销省20%,1500家电路电器生产企业选用,专业的工程师帮您稳定好每一批产品,如果您有遇到什么需要帮助解决的,可以点击右边的工程师,或者点击销售经理给您精准的报价以及产品介绍
烜芯微专业制造二三极管,MOS管,20年,工厂直销省20%,1500家电路电器生产企业选用,专业的工程师帮您稳定好每一批产品,如果您有遇到什么需要帮助解决的,可以点击右边的工程师,或者点击销售经理给您精准的报价以及产品介绍